
원심펌프의 특성곡선
원심 펌프의 유압 계산을 하기 위해서는 펌프의 특성곡선을 이용하는 것이 가장 일반적인 접근이다. 위의 그림에서는 유량 범위에 대한 원심 펌프의 성능을 이해하는 데 사용되는 주요 펌프 특성 곡선을 살펴볼 수 있습니다.
Q-H Curve (유량-양정 곡선)
유량-양정 곡선은 펌프에 의해 생성된 Head(양정)와 단위 시간당 물 펌프 부피 Capacity (유량)의 관계를 보여줍니다. 일반적으로 위 Curve에서 보이는 것처럼, 펌프에 의해 발생되는 Head는 펌프의 유량이 증가함에 따라 서서히 감소하는 것을 볼 수 있습니다. Head의 최대 효율 지점에서의 Capacity 값은 원심 펌프의 설계나 선정 시에 고려해야 하는 중요한 매개변수라고 이해하면 됩니다.
일반적으로 고객사에서는 승인 도서로 Data sheet와 함께 이 Performance Curve를 함께 요청할 것입니다. 물론, Outline Drawing (외형도) 또한 필수도서로 분류하여 발주서 접수 후 2주 내에 Foundation 목적으로 급히 요청할 수 있지만, 펌프사의 입장에서는 아직 Spec 검토가 완벽히 되지 않아 KOM을 진행해야 하는 상황에서 Outline Drawing의 치수를 정확히 Define 할 수 없기 때문에 충분한 협의가 필요하다는 점을 Pump engineering을 하는 분들은 고려해야 합니다.
추가적으로 액체의 Flow rate를 유체역학 및 펌프 이론에서는 Q라고 정의를 하고 있으므로 앞으로의 곡선 설명에서 Pump Discharge Capacity 즉, 펌프 토출량을 이하에서는 Q 또는 유량이라고 명명하도록 하겠습니다.
Q-H 곡선의 추세는 펌프의 비속도 (Specific Speed)에 따라 차이가 있습니다. 방사형 흐름을 가진 Impller (회전차)의 경우 Head가 약간 감소했다가 유량(Q)이 0에서 증가함에 따라 빠르게 하강합니다. 축류 임펠러와 혼합류 임펠러의 Q-H Curve 기울기 변화는 방사류 임펠러의 기울기 변화만큼 크지 않습니다. Q-H Curve의 평탄한 부분 범위에서 방사형 흐름 회전차는 유량(Q)이 변동할 때 양정(H)이 일정하게 유지되어야 하는 곳에 적합합니다. 그러나, 비교적 일정한 비속도(Specific Speed)가 요구되고 양정(Head)이 변동하는 경우, 보다 높은 비속도(Specific Speed)의 회전차가 더 적합하다고 볼 수 있습니다.
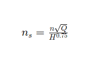
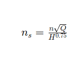
다음 방정식은 원심 펌프의 비속도(Specific Speed)를 나타냅니다 (n은 펌프 회전 속도이며 단위는 rpm입니다.)

n-H Curve (효율-양정 곡선)
일반적인 원심펌프의 펌프 효율-양정 곡선은 전체 효율이 일정 피크 지점까지 점진적으로 증가한 후에 다시 감소하는 추세를 보여줍니다. 이러한 효율의 피크 지점을 우리는 BEP (Best Efficiency Point) 최대 효율 지점이라고 명명합니다. 일반적인 경우에는 이러한 BEP지점이 하나이고, 펌프 선정에서 최대한 BEP 범위와 가까운 점에서 운전할 수 있도록 고려해야 하는 중요한 Factor 중에 하나라고 이해하시면 편할 것 같습니다.
원심 펌프의 효율은 다음과 같이 산출할 수 있습니다.

Shaft Power는 축동력으로, Water Power는 수동력으로 볼 수 있습니다. 즉, 펌프의 효율이란 모터에서 발생되어 펌프로 전해진 축동력에 대한 수동력의 비율입니다. 펌프는 결국 유체를 움직이는 기기이며, 물펌프의 경우는 주로 액체인 물을 다루게 됩니다. 따라서, 물에 전달된 운동에너지를 수동력이라고 명명하며 펌프의 효율은 결국 물로 전달되는 동력이 얼마만큼인지를 계산하면 알 수 있습니다.
간혹, Customer (고객)측에서 Data sheet 상 수동력 Pwater를 적어달라는 경우가 많은데, 이 경우에는 당황하지 마시고, 펌프의 축동력에 효율을 곱해주시면 바로 수동력이 나옵니다.

(상기 식에서 p(로)는 밀도, g는 중력가속도를 의미하며, pg는 r(감마, 비중량)으로 다시 표시할 수 있습니다.)
펌프 효율은 회전차의 설계, 비속도, 펌프의 유량이 주요한 Factor입니다. 상기 식에 대입해보면, 펌프의 용량이 크고 양정이 높을수록 수동력의 값이 커지며 효율이 높아진다는 사실을 알 수 있습니다. 원심펌프의 전체적인 효율은 펌프 제작에 사용되는 재료 및 베어링과 관련이 있습니다. 결국 마찰계수와의 관계로 봐도 됩니다. 예를 들어, 거친 면을 가진 회전차에 비해 매끄러운 면을 가진 회전차는 마찰계수가 적기 때문에 그만큼 유체의 저항을 덜 받게 되고 더 효율이 높습니다.
P-Q Curev (동력-양정 곡선)
펌프의 Shaft Power (축동력)에 대한 Q(유량) 곡선은 Q-H Curve 및 n-H Curve에서 도출할 수 있습니다. 일반적으로 동력-양정 곡선의 형태는 펌프의 비속도 (Specific Speed)와 회전차 (Impeller)의 설계 Design에 따라 달라집니다.
방사형 흐름을 가진 Impeller (회전차)의 경우는 동력이 0이 아닌 값에서 최대치로 상승한 다음 서서히 값이 감소하는 추세를 보여줍니다. 혼합 흐름 회전차의 경우, 동력은 흐름의 증가와 함께 0이 아닌 값에서 꾸준히 증가하는 추세를 보여줍니다.
그러나 축류 회전차의 경우 유량(Q)이 0일 때 동력이 최대이며, 유량이 증가함에 따라 동력이 서서히 감소하는 추세를 보여줍니다. 따라서 Axial flow pump (축류 펌프)를 기동 할 때는 기동부하를 최소화하기 위해 배출밸브를 대기 중으로 개방하여야 합니다.
NPSH-Q Curve (유효 흡입 수두-유량 곡선)
이 특성 곡선은 펌프 배출에 대한 필요 유효 흡입 수두 (Required Net Positive Suction Head)의 추세를 보여줍니다. 상기의 Curve 그림을 참조하면, 펌프의 유량이 증가함에 따라 NPSH required값이 점차 상승하는 것을 볼 수 있습니다. 특히 이 값의 경우는 펌프 고유의 특성이므로 펌프마다 값이 다르고, NPSH available값과는 다르게 산술적 계산식으로 구할 수 없는 펌프 고유의 값입니다.
댓글