
원심 펌프의 매개 변수
펌프는 용량과 크기에 따라 다양한 분야에서 다양한 용도로 사용됩니다. 펌프를 작동하는 데 중요한 변수는 필요한 압력과 유체의 양, 그리고 모터의 용량입니다. 다음에서 설명한 용어는 펌프의 주요 매개변수들이며 원심 펌프의 성능에 지대한 영향을 미치기 때문에 펌프의 선정에 반드시 고려해야할 필요가 있습니다.
유체 점도
점도는 운동에너지가 유체로 이동될 때의 전단 저항을 의미합니다. 일반적으로 원심 펌프는 높은 액체의 전단 저항을 생성하는 기기 이므로 점도가 적은 저점도 유체에 적합한 기기입니다.
유체 밀도
유체 밀도는 부피 단위당 유체의 질량으로 정의됩니다. 오일 펌프에 필요한 입력 용량에 직접적인 변수로 영향을 줍니다. 일반적으로 물이 아닌 다른 유체를 이용하여 운전할 경우에는 비밀도라는 매개변수를 고려할 필요가 있습니다. 유체의 고유 밀도(또는 상대 밀도)는 주어진 기준(기본적으로 물의 기준으로 합니다.)의 밀도에 대한 유체 밀도의 비율로 정의되며 다음과 같이 수식으로 표현 됩니다.

작동 온도 및 압력
온도 및 압력과 같은 펌핑 조건은 모든 작업에서 고려해야 할 필수 사항입니다. 예를 들어 고온 유체 펌핑에는 특수 개스킷, 씰 및 장착 장치가 필요할 수 있습니다. 마찬가지로 고압 조건의 경우 적절한 압력 유지 케이싱이 필요할 수 있습니다.
유효 흡입 수두
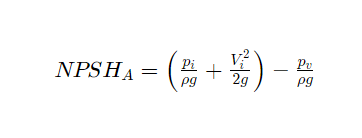
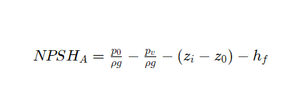
NPSH(Net Positive Suction Head)는 펌프의 흡입 측 압력을 나타내는 용어로, 압력이 캐비테이션, 즉 공동현상을 방지할 수 있을 정도로 높은지 여부를 확인하는 데 사용됩니다. 공동현상(cavation)은 펌프 회전차 주변에서 생성되며, 상대적으로 낮은 영역에서 액체의 기포 또는 공동이 발생하는 현상이다. 이러한 기포들이 주변의 압력에 의해 터지게 되면 회전차에 심각한 손상 및 파손을 줄 수 있습니다. 사용 가능한 유효 흡입 수두가 필요한 유효 흡입 수두보다 크고 적절한 안전 마진을 가지고 있는지 항상 확인할 필요가 있습니다.
다음 관계를 사용하여 사용 가능한 유효 흡입 수두를 찾을 수 있습니다.

i는 inlet의 약자로 입구를 나타냅니다. 또한 pv는 유체의 증기압을 나타냅니다. 흡입 표면(O로 표시)과 펌프 입구(i로 표시) 주변의 제어 부피에 대한 열역학 제1법칙을 기초로 하여 다음과 같은 방정식을 만들어 낼 수 있습니다. 예를 들어, 흡입 표면의 운동 에너지는 무시할 수 있을 정도로 작고, 유체는 불투명하며, 유체 밀도는 일정하다는 것이 기본 전제 조건입니다.
속도와 국소 압력 항을 제거하기 위해 베르누이 방정식을 사용하면 사용 가능한 유효 흡입 수두는 다음과 같이 주어진다.

유체 증기 압력
유체의 증기 압력은 유체가 기체로 변하게 되는 액화 시의 특정 온도에 대한 압력으로 정의할 수 있습니다. 유체가 증발할 때 발생하는 드라이 러닝으로 인한 손상뿐만 아니라 공동현상을 방지하기 위해서라도 반드시 확인해야 하는 사항입니다.
원심펌프의 작동 단계
원심 펌프는 동적 펌프의 한 종류입니다. 원심펌프의 작동원리는 복수의 날개 또는 베인을 갖는 회전차의 회전에 의해 유도되는 원심력을 이용하여 유체에 운동 에너지를 전달하는 것을 목적으로 합니다. 원심 펌프 작동의 기본 원칙은 간단하게 다음 단계를 통해 이해할 수 있습니다.
유체는 임팰러의 중심을 통해 펌프로 들어가게 됩니다.
회전차의 회전을 통해 발생하는 원심력에 따라 유체의 속도가 점점 증가하게 됩니다. 이 후 유체는 방사상으로 회전차 주변으로 이동하게 됩니다.
이동을 통해 유체는 볼류트 케이싱 또는 디퓨저로 향하게 되며 속도에너지에서 압력에너지로의 변환이 일어나는 시점이 바로 이 시점이라고 보면 됩니다.
원심 펌프의 프라이밍 (마중물)
프라이밍은 원심 펌프를 시작하는 데 중요한 단계 중 하나로, 한국말로 번역하면 마중물이라고도 합니다. 이러한 펌프는 기체(예: 공기)를 작동유체로 사용할 수는 없습니다. 회전차가 유체 속에 잠겨 있고 내부에 공기가 존재하지 않는 진공의 경우 프라이밍이 필요합니다. 따라서 초기 펌프를 기동 시키기 위해서는 프라이밍이 필수적인 조치 중 하나라고 볼 수 있습니다. 프라이밍의 중요성을 보여주는 또 다른 이유는 케이싱에 유체가 가득 채워 간극 용량을 줄이려는 것입니다.
댓글